摘要:文章采用微差壓變送器作為壓力信號的采集元件,通過測量通風機的負壓完成對鳳機風量的測量,并分析了微差壓變送器的測量原理,正確選擇了風壓采集方案,對通過負壓求風量進行了計算,完成了系統硬件和軟件設計。
1、引言
主通風機是礦井的重要設備之一,擔負著向井下輸送足夠數量的新鮮空氣,以沖淡有害氣體的濃度和帶走飛揚的煤塵,保證給井下作業的工人一個安全、可靠、良好的工作條件,井下風量的大小與作業環境有密切的關系,因此,通風機的風量是礦井通風的一個最重要的參數之一。
現在很多礦井還采用傳統方式監測井下風量,通過讀取U形管中液壓差判斷井下風量大小。西安科技大學開發的基于USB總線結構的便攜式通風機性能測試分析虛擬儀器,采用測量風速或動壓來測量風量。傳統方法測量準確度受人為因素影響較大,不能連續測量,李曼等開發的測量方法能夠自動測量風量,但測量元件和測量方法復雜,成本較高。本文采用微差壓變送器作為采集元件,通過自制的引壓裝置引壓,由計算機完成對風量的采集和計算,完成對風量的準確采集和連續紀錄,同時完成相關預警等,保證對風量的準確監測,該方法測量手段簡單,結果準確可靠,成本相對較低,在礦井風量測量中應用前進廣闊。
2、微差壓變送器的測量原理
微差壓變送器是一種電容式傳感器,以可變參數電容器作為傳感元件,將被測非電量變化轉換為電容量變化,再通過測量線路轉換為電信號輸出的非電量測量裝置。如圖1所示,平行板電容器電容量C為:C=εS/δ
式中:ε——極板間介質的介電常數;
S——極板面積
δ——極板間的距離。
(1)式中任意一個量的改變都將使電容C隨之改變,因此,通過一定的測量電路將變化量轉換為電信號輸出,即可確定被測量的大小。
微差壓變送器是由壓力傳感元件和壓力變送元件組成的,壓力傳感元件是將被測介質的兩種壓力通入高、低兩壓力室,作用在δ元件(即敏感元件)的兩側隔離膜片上,通過隔離片和元件內的填充液傳送到測量膜片兩側。壓力變送元件是由測量膜片與兩側絕緣片上的電極各組成一個電容器,當兩側壓力不一致時,致使測量膜片產生位移,其位移量和壓力差成正比,故兩側電容量就不等,通過振蕩和解調環節,轉換成與壓力成正比的信號。
3、風壓采集方案設計
要準確的測量風量,需要對風峒中的實際風流情況進行準確采集,引壓裝置在這里就顯得較為重要,筆者根據經驗選擇了中國礦業大學胡亞非教授發明的引壓裝置,引壓裝置包括與風道截面形狀相同的均壓管,通過固定架固定在風道的風峒墻上,均壓管上安置有若干個測壓頭,測壓頭垂直于風道截面,且端頭平行于來流方向,均壓管內的壓力信號通過測壓引出導管引出。
確定了引壓裝置,通過一定的引壓管路和濾配裝置即可將壓力信號引入仕樂克微差壓變送器,完成壓力信號的采集和變送,如圖2所示。
4、風量的計算
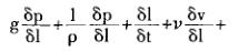
由流體力學知識可知,在同一管路中,由于截面的改變帶來的壓力不同可求得風機通過的風量。在不考慮流動損失時,由流體力學基本方程式:
式中
P-靜壓,Pa;
t-時間,s;
g-重力加速度,m/s;
ρ-空氣密度,kg/m;
v-風流流動速度,m/s;
l-風流的流線長度,m;
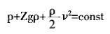
若視風道中的風流為定常流,那么沿流線積分為常數,并積分(2)式得:
式中:z-標高,m;
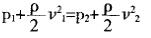
對礦井通風系統來說,在風峒中標高z不變,Zgρ項可以省略,則有:
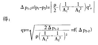
上式表明:在流動損失可以忽略的情況下,風峒中各截面上的全壓相等,并且截面上的靜壓和動壓可以相互轉化,動能較大的截面靜壓較低,動能較小的截面靜壓較高。根據這一原理,選擇兩個截面,一個在風機人口集流器附近(定義為截面1),一個在動輪前集流罩處的環形空間上(定義為截面2),截面1、2面積的變化使流經氣流產生靜壓差,忽略1、2截面微小的流動損失,由式(4)可得,1、2截面的靜壓差等于兩截面的動壓差,即:

式中:qv——風機流量,m3/s;
A1,A2——截面1、2的面積,m1;
△P——截面1、2的靜壓差,Pa。
式(6)證明了風量是可以連續監測的,但在實際工況條件下,存在紊流損失、測壓截面形狀不同等多種影響因素,需要對其進行適當修正。在該方法中,對長期試驗得出的數據進行回歸,得到如下經驗公式:
qv=c0+c1q+c2q+...cnq
式中c0、c1、c2、...、Cn為現場標定后得到的經驗系數,q為傳感器測得的信號,根據現場具體要求,取不同的n值。
5、硬件及軟件設計
計算機測試系統硬件包括傳感器、A/D轉換器、輸入/輸出接口電路、計算機等。負壓測試采用多路共享A/D轉換方式完成對多個負壓值的測量,硬件系統結構如圖4所示。多個模擬量信號經過傳感器接入采樣/保持(S/H)器件,將待采集的信號送人多路開關,多路開關按照時頻接通各路信號,連接模/數(A/D)轉換元件進行相應的數據轉換,最終經過輸入/輸出(I/O)接口將數字量傳入主機。
仕樂克微差壓變送器將傳感器和采樣/保持元件集成,使用方便可靠。系統選用R8017數/模轉換模塊,它集成了模擬多路開關和A/D轉換元件,一個模塊能夠同時采集8路模擬量信號。
I/O連接設備選用RS一232/RS一485轉換模塊,能夠完成采集模塊與計算機的數據連接。
系統采用MCGS組態軟件結合Visualc++6.0和Office2007等軟件進行設計,主要完成系統界面的設計,數據量的定義,設備組態,通道連和調試,輸入信號預處理等工作。
軟件系統實現了負壓信號的準確采集和風量的準確計算,對系統數據曲線進行自動繪制,數據報表的生成。同時軟件系統還設置報警功能,對用戶要求的超限量進行報警,保證足夠的工作風量和風壓。
6、結論
該系統利用微差壓變送器對礦井主通風機的風量進行了準確的測量,較測量風速和動壓等測量風量的方式有較大的創新。同時,該系統硬件設備用量少,連接方式簡單,節約了硬件成本。系統軟件開發簡單,維護和使用方便,具有廣泛的應用前景。
注明,仕樂克儀表文章均為原創,轉載請標明本文地址